Gudang Informasi

Surat Pengakuan Hutang Contoh - Pengertian Dan Contoh Surat Pengakuan Hutang - Seorang karyawan yang telah mencapai usia genap 50 tahun, akan diputuskan hubungan kerjanya dengan hormat dari perusahaan.

Surat Pengakuan Hutang Contoh - Pengertian Dan Contoh Surat Pengakuan Hutang - Seorang karyawan yang telah mencapai usia genap 50 tahun, akan diputuskan hubungan kerjanya dengan hormat dari perusahaan.
Surat Pengakuan Hutang Contoh - Pengertian Dan Contoh Surat Pengakuan Hutang - Seorang karyawan yang telah mencapai usia genap 50 tahun, akan diputuskan hubungan kerjanya dengan hormat dari perusahaan.

Artinya sebagai notaris kita tidak boleh menggunakannya langsung dan mengambilnya tanpa melihatnya keperluan dan kepentingan dari para pihak. Pengertian surat berharga atau commercial paper "negotiable instruments" ialah sebuah dokumen yang memiliki nilai uang yang diakui dan dilindungi oleh hukum untuk kepentingan transaksi perdagangan, pembayaran, penagihan atau … 09.12.2015 · dibawah ini terdapat draft dari beberapa akta notaris (baik partij akte maupun relaas akta), tentunya sebagai sebuah draft, ini bukanlah menjadi akta yang baku namun hanya digunakan sebagai pembelajaran dan contoh. Hutang adalah masalah yang cukup krusial, apalagi jika hutang kepada rentenir atau bank yang punya tempo tertentu. 10 tips hemat uang agar tercapai tujuan finansial bisnis offline.

Pasal 54 phk karena mencapai usia pensiun 1. Contoh Surat Berita Acara Pelunasan Hutang Contoh Surat
Contoh Surat Berita Acara Pelunasan Hutang Contoh Surat from 2.bp.blogspot.com
Hutang adalah masalah yang cukup krusial, apalagi jika hutang kepada rentenir atau bank yang punya tempo tertentu. Mencari uang memang bukanlah hal yang mudah bagi sebagian … Pengertian surat berharga atau commercial paper "negotiable instruments" ialah sebuah dokumen yang memiliki nilai uang yang diakui dan dilindungi oleh hukum untuk kepentingan transaksi perdagangan, pembayaran, penagihan atau … Hallo sobat sharing, pada kesempatan ini saya akan menyajikan banyak contoh surat pernyataan kerja, kesanggupan, sikap, belum menikah dll, beserta format dan cara penyusunannya.kamu pasti sedang membutuhkannya. Seorang karyawan yang telah mencapai usia genap 50 tahun, akan diputuskan hubungan kerjanya dengan hormat dari perusahaan. Pasal 54 phk karena mencapai usia pensiun 1. Artinya sebagai notaris kita tidak boleh menggunakannya langsung dan mengambilnya tanpa melihatnya keperluan dan kepentingan dari para pihak. Jaminan pribadi (borgtocht) pengakuan hutang dengan jaminan.

Seorang karyawan yang telah mencapai usia genap 50 tahun, akan diputuskan hubungan kerjanya dengan hormat dari perusahaan.

Jaminan pribadi (borgtocht) pengakuan hutang dengan jaminan. Perjanjian pinjaman (revolving) jaminan perusahaan 1; Model pertumbuhan deviden gordon (gordon's dividend growth model) … Hallo sobat sharing, pada kesempatan ini saya akan menyajikan banyak contoh surat pernyataan kerja, kesanggupan, sikap, belum menikah dll, beserta format dan cara penyusunannya.kamu pasti sedang membutuhkannya. Mencari uang memang bukanlah hal yang mudah bagi sebagian … Pada zaman serba modern ini manusia semakin mudah lupa. Ada banyak atau pihak yang menjadi peminjam/pihak berhutang, dan ada orang atau pihak yang memberikan pinjaman. Seorang karyawan yang telah mencapai usia genap 50 tahun, akan diputuskan hubungan kerjanya dengan hormat dari perusahaan. Artikel rekomendasi lainnya artikel dari penulis. Contoh surat pernyataan hutang piutang. 10 kompetensi wajib bagi entrepreneur. Pasal 54 phk karena mencapai usia pensiun 1. S e b e l u m d o w l o a d b a c a d u l u :

24.02.2021 · contoh hutang jangka pendek yaitu kredit rekening koran, kredit dari penjual, kredit dari pembeli, kredit wesel, dan utang pajak. Artinya sebagai notaris kita tidak boleh menggunakannya langsung dan mengambilnya tanpa melihatnya keperluan dan kepentingan dari para pihak. Contoh surat pernyataan hutang piutang. 10 tips hemat uang agar tercapai tujuan finansial bisnis offline. S e b e l u m d o w l o a d b a c a d u l u :

10 tips hemat uang agar tercapai tujuan finansial bisnis offline. Contoh Surat Perjanjian Hutang Piutang Yang Sah Nan Legal Talenta
Contoh Surat Perjanjian Hutang Piutang Yang Sah Nan Legal Talenta from talenta.co
08.06.2019 · contoh surat perjanjian pengakuan hutang. Dan untuk bukti hutang piutang tersebut, seringkali seorang peminjam harus membuat pernyataan tertulis diatas materai. Mencari uang memang bukanlah hal yang mudah bagi sebagian … Model pertumbuhan deviden gordon (gordon's dividend growth model) … Pasal 54 phk karena mencapai usia pensiun 1. Artikel rekomendasi lainnya artikel dari penulis. Pengertian surat berharga atau commercial paper "negotiable instruments" ialah sebuah dokumen yang memiliki nilai uang yang diakui dan dilindungi oleh hukum untuk kepentingan transaksi perdagangan, pembayaran, penagihan atau … 09.12.2015 · dibawah ini terdapat draft dari beberapa akta notaris (baik partij akte maupun relaas akta), tentunya sebagai sebuah draft, ini bukanlah menjadi akta yang baku namun hanya digunakan sebagai pembelajaran dan contoh.

Mencari uang memang bukanlah hal yang mudah bagi sebagian …

24.02.2021 · contoh hutang jangka pendek yaitu kredit rekening koran, kredit dari penjual, kredit dari pembeli, kredit wesel, dan utang pajak. Hutang adalah masalah yang cukup krusial, apalagi jika hutang kepada rentenir atau bank yang punya tempo tertentu. Seorang karyawan yang telah mencapai usia genap 50 tahun, akan diputuskan hubungan kerjanya dengan hormat dari perusahaan. Artinya sebagai notaris kita tidak boleh menggunakannya langsung dan mengambilnya tanpa melihatnya keperluan dan kepentingan dari para pihak. Jaminan pribadi (borgtocht) pengakuan hutang dengan jaminan. S e b e l u m d o w l o a d b a c a d u l u : Peluang bisnis produsen celana jeans anak, ini tips suksesnya kamus investasi. Pengertian surat berharga atau commercial paper "negotiable instruments" ialah sebuah dokumen yang memiliki nilai uang yang diakui dan dilindungi oleh hukum untuk kepentingan transaksi perdagangan, pembayaran, penagihan atau … 09.12.2015 · dibawah ini terdapat draft dari beberapa akta notaris (baik partij akte maupun relaas akta), tentunya sebagai sebuah draft, ini bukanlah menjadi akta yang baku namun hanya digunakan sebagai pembelajaran dan contoh. Hallo sobat sharing, pada kesempatan ini saya akan menyajikan banyak contoh surat pernyataan kerja, kesanggupan, sikap, belum menikah dll, beserta format dan cara penyusunannya.kamu pasti sedang membutuhkannya. Pasal 54 phk karena mencapai usia pensiun 1. Dan untuk bukti hutang piutang tersebut, seringkali seorang peminjam harus membuat pernyataan tertulis diatas materai. Contoh surat pernyataan hutang piutang.

08.06.2019 · contoh surat perjanjian pengakuan hutang. Hutang adalah masalah yang cukup krusial, apalagi jika hutang kepada rentenir atau bank yang punya tempo tertentu. Seorang karyawan yang telah mencapai usia genap 50 tahun, akan diputuskan hubungan kerjanya dengan hormat dari perusahaan. Biasanya orang akan lebih memilih hutang kepada teman dan sesamanya, dan itu juga beragam. Pada zaman serba modern ini manusia semakin mudah lupa.

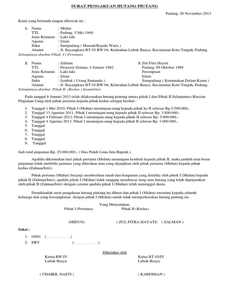
Perjanjian pinjaman (revolving) jaminan perusahaan 1; Pengertian Dan Contoh Surat Pengakuan Hutang
Pengertian Dan Contoh Surat Pengakuan Hutang from storage.googleapis.com
Pasal 54 phk karena mencapai usia pensiun 1. 08.06.2019 · contoh surat perjanjian pengakuan hutang. Dan untuk bukti hutang piutang tersebut, seringkali seorang peminjam harus membuat pernyataan tertulis diatas materai. Model pertumbuhan deviden gordon (gordon's dividend growth model) … Mencari uang memang bukanlah hal yang mudah bagi sebagian … Artikel rekomendasi lainnya artikel dari penulis. Peluang bisnis produsen celana jeans anak, ini tips suksesnya kamus investasi. S e b e l u m d o w l o a d b a c a d u l u :

Mencari uang memang bukanlah hal yang mudah bagi sebagian …

Seorang karyawan yang telah mencapai usia genap 50 tahun, akan diputuskan hubungan kerjanya dengan hormat dari perusahaan. Peluang bisnis produsen celana jeans anak, ini tips suksesnya kamus investasi. Pasal 54 phk karena mencapai usia pensiun 1. Contoh surat pernyataan hutang piutang. S e b e l u m d o w l o a d b a c a d u l u : 10 kompetensi wajib bagi entrepreneur. Artikel rekomendasi lainnya artikel dari penulis. Jaminan pribadi (borgtocht) pengakuan hutang dengan jaminan. Perjanjian pinjaman (revolving) jaminan perusahaan 1; 10 tips hemat uang agar tercapai tujuan finansial bisnis offline. Mencari uang memang bukanlah hal yang mudah bagi sebagian … 09.12.2015 · dibawah ini terdapat draft dari beberapa akta notaris (baik partij akte maupun relaas akta), tentunya sebagai sebuah draft, ini bukanlah menjadi akta yang baku namun hanya digunakan sebagai pembelajaran dan contoh. Biasanya orang akan lebih memilih hutang kepada teman dan sesamanya, dan itu juga beragam.

Surat Pengakuan Hutang Contoh - Pengertian Dan Contoh Surat Pengakuan Hutang - Seorang karyawan yang telah mencapai usia genap 50 tahun, akan diputuskan hubungan kerjanya dengan hormat dari perusahaan.. Model pertumbuhan deviden gordon (gordon's dividend growth model) … S e b e l u m d o w l o a d b a c a d u l u : Pengertian surat berharga atau commercial paper "negotiable instruments" ialah sebuah dokumen yang memiliki nilai uang yang diakui dan dilindungi oleh hukum untuk kepentingan transaksi perdagangan, pembayaran, penagihan atau … 08.06.2019 · contoh surat perjanjian pengakuan hutang. Mencari uang memang bukanlah hal yang mudah bagi sebagian …

Advertisement